花样匹配技术—MapSweeper

传统EBSD分析采用像霍夫变换这样的图像变换,来探测每个EBSD花样中衍射带的位置,然后与备选相的晶面夹角查询列表进行比对。这种花样标定的过程(详细介绍在 这里)又快又准确,能够在超过5000花样/秒的速度下,提供高质量的数据。

然而,近年也出现了另一种EBSD花样标定的方法,它利用了改进的花样模拟和图像相关性的方法。这种新的方法,一般泛指为“花样匹配”,已经在 这里介绍过,它的应用和功能都在增长。

花样匹配开发出来作为EBSD分析的一个工具,最初是由于EBSD花样模拟技术的进步驱动的。尤其是电子衍射动力学模拟的有效应用,不仅可以预测EBSD花样中衍射带的位置,还可以给出强度的分布。这样生成的模拟花样非常逼真,如下图所示。自此,就有可能用匹配最佳的模拟花样去匹配实验花样。

Experimental EBSD pattern from SiO2 with corresponding simulations using different models

矿物石英(SiO2)的EBSD花样。从左到右:典型的实验花样、多束动力学模拟花样、双束动力学模拟花样、运动学模拟花样。


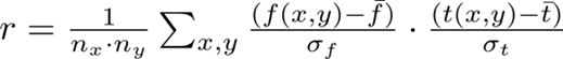
任何有效的花样模拟方法中,最重要的是如何稳定、准确地衡量2张图片的相似程度(例如,实验和模拟的花样图片)。答案是最好利用归一化的互相关系数:它广泛应用于图像分析,对EBSD非常适合,因为它可以处理图像中强度巨变或衬度波动(例如,由于电子束衍射或样品条件不同,或EBSD探测器曝光改变)。基本的公式如下,通过归一化保证了每个像素的平均背底为0,平均标准偏差为1。

衡量图像的相似性

计算归一化互相关系数r的公式。在x和y方向含n个像素的模拟模板t(x,y)和实验花样f(x,y)之间的互相关系数为r。f t的平均值和标准偏差分别用 f ̅t ̅ ,和 σf 和 σt 表示。

对于EBSD花样的匹配,我们只考虑r的大小,其范围从 r = 0(表示两张图像无相关性)到 r = 1(表示图像完全一样)。事实上,由于实验花样的噪声影响,r值很少能超过 0.8。多大的r值能反映可靠的匹配呢?很大程度上取决于花样的质量和需要测试的信息。例如,当标定质量差的EBSD花样时(如大变形样品中采集的),r > 0.15的匹配就很可能表示正确的标定;而如果需要确定晶体的极性或分辨可能的伪对称关系,很可能需要r > 0.5的匹配,并且最佳解析的 r 值至少比次佳解析高 0.01。

AZtecCrystal MapSweeper中的花样匹配

在 AZtecCrystal MapSweeper 中实现的花样匹配功能,能全方位的增强所有类型的EBSD数据,包括全面标定、改善数据质量或从EBSD花样中提取新的信息。这些工具基于全动力学花样模拟(也能用双束和运动学模拟),采用归一化的互相关系数作为花样之间的相似性最稳定的度量。

在以下标签页中,您可以了解到AZtecCrystal MapSweeper中,不同的“清扫”模式是如何工作的,以及为什么它们能用来改进各种各样的EBSD数据的质量。图册提供了多种示例,以展示这项先进技术的应用。

AZtecCrystal MapSweeper采用新的方法来标定——动态模板匹配(DTM,Dynamic Template Matching)。动态模板匹配的原理类似于字典标定,但是有几个关键的区别:

  • 在动态模板匹配中,无需生成花样模板的库,每个测量点是即时生成花样模板的。(对于字典标定,需要为每个备选相,生成10万至超过1000万个模板,这依赖于晶体对称性及所需的角度精度)
  • 由于模板是即时生成的,每个点都可以应用精确的校准参数,来保证实验和模拟花样之间最佳的相关性。对字典标定来讲则不然,只有一套几何校准参数来生成所有的模板库。
  • 动态模板匹配标定方法的动力学本质意味着最初低精度的取向(例如,~2°的精度)可以很快精修至很高精度的最终取向(例如,优于0.01°,有赖于EBSD花样的质量)。

动态模板匹配的过程如下图所示。请注意,最初标定采用的是低精度的模板和像素合并(低分辨率)的原始EBSD花样;然后再用高分辨率EBSD花样和模板,精修至高精度的最终解析。

Workflow showing how EBSD pattern indexing using the dynamic template matching (DTM) method works

利用动态模板匹配(DTM)标定EBSD花样的步骤。对于含多个相的数据,每个备选相都要标定一遍,然后取归一化互相关系数最高的解析。

动态模板匹配标定方法的速度相对很快,当然也依赖于可用的算力及备选相的对称性。对于单个立方相的数据,利用中端的GPU,典型的标定速度范围可达到25-200花样/秒。

通常不是非要要用到花样匹配标定——基于霍夫变换的标定,对大多数样品都能提供足够高质量的数据。因此,只需要进一步增强现有数据即可(详细参考“精修清扫”和“修复清扫”标签页的“混合花样匹配”方法)。然而,对一些样品来讲,比如由于高缺陷密度或纳米晶结构而导致EBSD花样质量很差的,以至于基于霍夫变换的标定的结果标定率很低(如<50%),基本不可接受。在这种情况下,像动态模板匹配这样的“暴力”标定方法就显得很重要了,会大大增强数据的质量。

下面的视频演示了AZtecCrystal中的MapSweeper动态模板匹配标定,是如何用来分析纳米晶MgB2超导材料的。最初基于霍夫变换的标定结果只有50%的标定率,而动态模板匹配标定的标定率>90%。

视频展示了利用AZtecCrystal MapSweeper的动态模板匹配标定,重新分析具有挑战性的TKD样品

在AZtecCrystal MapSweeper中,花样匹配技术更主要用于“混合”方法。混合花样匹配是指在使用花样匹配方法时,利用了之前采集的相和取向信息,通常是标准的基于霍夫变换的标定结果。相比“暴力”方法(比如字典标定或球谐标定),混合方法的优势是分析速度快很多,同时通常结果的质量也会好很多。在MapSweeper中,精修清扫和修复清扫都采用了混合方法。

这里我们详细描述一下混合花样匹配是如何在MapSweeper中增强EBSD数据质量的。在精修清扫中,MapSweeper可以改进取向精度、解析伪对称、解析晶体极性并改进相的区分。以下分别讨论这些分析目标。

取向精修

标准的EBSD花样标定利用了霍夫变换,其典型的取向精度可达0.1-0.5°。采用更高级标定方法,比如高精度模式,可以改进取向精度至<0.05°。

然而,利用混合花样匹配技术,有可能更进一步提高取向精度至约0.01°,甚至更高。这样有很多优势,主要是它能帮助分析和解释取向微小的改变,比如由于材料中形成位错结构(源于生长或变形)导致的。

在MapSweeper中,精修的过程很快也很简单,分以下几步:

  • 利用之前基于霍夫变换标定的原始相和取向,生成模拟EBSD花样,计算归一化的互相关系数(R)
  • 稍微偏离原始取向,生成模拟EBSD花样,并计算新的R值
  • 利用精修算法(比如Nelder-Mead算法,一种求多元函数局部最小值的算法,其优点是不需要函数可导并能较快收敛到局部最小值)来确定具有最大R值的取向,逐渐减小取向改变的步长,直到R值的改变小于某个预定义的阈值。

这一过程一般需要生成并匹配100-200个模拟EBSD花样,而且依赖于算力和EBSD花样的分辨率,费时可以小于1 ms。最终的取向精度有赖于EBSD花样的质量;虽然如此,即使是相对低的分辨率或噪声大的EBSD花样,取向精修的过程相比基于霍夫变换的标定,也能给出明显的改进。

Animation illustrating the orientation optimisation of a simulated EBSD pattern to match an experimental pattern

截屏录像显示了铁素体钢的EBSD花样,取向逐步精修的过程。左:实验EBSD花样。右:动力学模拟花样显示了取向优化过程。在优化的过程中,归一化的互相关系数从R=0.72增加到了R=0.79。

伪对称修正

我们曾经介绍过伪对称的概念(这里),并列举了几种避免错标或滤除系统错误的方法。然而,这些方法的分辨能力有限——在之前提供的示例中(gamma TiAl),其单胞中c轴和a轴的长度差异约为1.8%。对于更小的c:a比例差异,这些传统的方法可能也无能为力。

在这些情况下,混合花样匹配仍然能很好胜任。如果EBSD花样质量足够好,能够解析的单胞差异<0.5%。MapSweeper采用的方法很简单:

  • 利用之前基于霍夫变换标定的原始相和取向,生成模拟EBSD花样,计算归一化的互相关系数(R)
  • 利用用户定义的伪对称关系,生成伪对称等效取向的模拟EBSD花样,并计算新的R值
  • 所有解析的取向都优化后,取R值最高的解析

伪对称修正的方法可以和取向精修的方法结合,以保证对每种伪对称的解析,其取向都得到了优化。这个方法的精度很依赖于EBSD花样的质量以及相应的R值。对于好的、噪声少的EBSD花样,R值>0.7,使得单胞差异小于0.5% 仍然可分辨;但是对于噪声大的花样(相应的R值小),需要更大的单胞差异才能保证稳定的结果。按CuInSe2结构(四方结构,与立方结构相差约0.5%)模拟的花样展示了MapSweeper能察觉到花样极细微的改变。

Animation showing 2 simulated EBSPs from a CuInSe2 crystal with 90° rotations, highlighting the crystal pseudosymmetry
动力学模拟展示了两个相对旋转90°的CuInSe2花样,突出了由伪对称造成的花样微小改变。

反演对称性

有些晶体结构是非中心对称的(即,它们没有反演中心)。在一些情况下,缺少反演对称性与材料的一些重要性质有关,比如压电效应。缺少反演对称性的点群会有极性或手性,而晶体结构的极性或手性对EBSD花样只有很小但仍可估量的影响。

这种花样的改变对于常规基于霍夫变换的标定方法来讲太小了,无法测试;但是MapSweeper中的混合花样匹配方法可以探测到。方法和前面解析伪对称所用的方法很接近,只是将花样匹配程序应用到反演结构和未反演结构上。同样,仍然需要高质量的EBSD花样,以便有效解析材料的极性或手性,如下面ZnO晶粒示例展示的。

Screengrab from MapSweeper showing the difference between an original and inverted simulation for a ZnO grain
从MapSweeper软件界面上导出的动画,展示了ZnO EBSD花样的反演对归一化互相关系数的影响。左:实验花样,中:模拟花样,在未反演和反演结构间切换,右:实验花样和模拟花样之间的差异。注意,反演后的结构R值更高。

相区分

有些材料可能包含多种晶体结构相似的相,传统EBSD很难区分正确和错误的解析。这里我们介绍过其他方法来区分结构相似相,比如利用EDS采集的元素信息,或者利用花样的衍射带宽度。

然而,MapSweeper利用混合花样匹配方法,可以给出更稳健的相区分,即使是结构非常相似的相。

MapSweeper采用的方法如下:

  • 用户建立相似相的“群”
  • 如果原始的标定结果为群内的相,MapSweeper会对群内所有的相执行花样匹配
  • 选择互相关系数R值最高的相及精修后的取向

这个方法的分析速度会减慢,因为对每个标定相在群内的像素点,都需要用群内的所有相“清扫”一遍。但是这个方法对相的区分非常有效,甚至用低分辨率或噪声相对较大的EBSD花样也可以。结果可以查看旁边的视频,展示了相区分和取向精修的过程是如何结合起来,增强变形Ni基高温合金样品的数据。

视频展示了MapSweeper的精修过程,数据为Ni基高温合金,其中含有一小块立方Ti2CN析出相。两个相设定为同一个群,以使MapSweeper区分,获得了稳健的相区分,同时也改进了取向精度。传统的基于霍夫变换的标定方法对此无法区分。

这里我们介绍在AZtecCrystal MapSweeper中,混合花样匹配是如何用来修复现有的EBSD数据的。在修复清扫中,MapSweeper可以用来修复原始分析中的标定错误,以及迭代标定原始结果中未解析的像素。修复清扫常和精修清扫一起使用(它可以使用精修清扫步骤中定义的实验花样和模拟花样的分辨率),也可以单独使用(例如,有些数据只保存了未标定点的EBSD花样)。

在修复清扫中,可以选择两个操作,详细阐释如下。

未标定花样

基于霍夫变换的标定很难100%标定出数据中所有的点。通常,在晶界处采集到的花样由于重叠,可能无法标定(因为没有足够的衍射带数量,满足晶界两侧的取向)。同样,在EBSD花样质量很差的区域或晶粒上,利用霍夫变换也无法可靠探测衍射带。这在非常大变形的样品和纳米晶材料(比如利用透射菊池衍射TKD分析)中很常见。

MapSweeper中的修复清扫,利用未标定像素点周围已标定的像素点的取向和相信息,来解析未标定的像素点。

Workflow for the iterative indexing of non-indexed points in an EBSD dataset using the Repair Sweep in MapSweeper
  1. 示例取向像素网格展示了沿晶界(红蓝晶粒间)的未标定像素(白色)
  2. 每一个未标定像素点(花样质量达到用户定义的阈值)的EBSD花样,和已标定的相邻像素点的相及取向的模拟EBSD花样(黑线)进行比对。对匹配进行精修,找到归一化互相关系数R值最高的
  3. 如果R值超过了一定的阈值,那么接受精修的新解析,并对下一个未标定像素点重复执行程序
  4. 程序执行到所有未标定像素点都和相邻解析比对分析完。没有相邻解析的未标定像素点保持不变
  5. 后续迭代继续分析遗留的未标定像素点

请注意,这并不是复制相邻像素的标定结果。算法只是采用相邻像素的标定结果作为起点,模拟最初的EBSD花样。只有当精修后的R值足够高,这个解析才会被认可,这样就确保不会出现错标。

这种混合方法对零解像素进行“重新标定”,比完整的“暴力”标定方法(如动态模板匹配,或字典标定、球谐标定)快很多,最终结果也是类似的,具有很高的角度精度。唯一需要的是原始的标定率足够高,以避免出现大块的未标定像素(如整个晶粒)。

独立的像素群

有时候,在霍夫变换标定时,单独像素的EBSD花样,或几个相邻像素群的花样容易被误标。这主要是由于局部花样质量较差,或者样品中的相存在特定的晶体学性质。通常这类“误标点”或小群像素,在数据后处理的去噪过程中被移除,然后用相邻像素的标定结果来代替。

在MapSweeper的修复清扫中,单独的像素群(至多5个像素)与原始结果中它们自身的模拟花样以及相邻像素的模拟花样进行比对,如下所示:

Workflow for the iterative removal / validation of pixel clusters in an EBSD dataset using the Repair Sweep in MapSweeper
  1. 示例像素网格展示了2个晶粒(红色和蓝色),以及具有不同取向的独立的像素群(粉色和绿色)
  2. 每个独立像素点的EBSD花样与它们自身及相邻像素的模拟花样进行比对。对匹配进行精修,找到归一化互相关系数R值最高的
  3. 具有最高R值的相和取向赋予该像素点。在示例中,绿色像素确定为误标,被相邻红色像素的精修的解析替换。然后分析下一个像素群。
  4. 程序执行到所有像素群都分析完毕。其中一些会被替换;其它的会保留,比如这里的3个粉色像素,可能验证为正确的(这种情况下,是晶界处的小晶粒)

去除或验证像素群,再加上重新标定最初未标定的花样,这样的组合使得修复清扫成为增强EBSD数据非常有效的工具。这两个处理都很快,得到的结果也对每个测试点做了完全的取向精修。以下示例展示了利用精修清扫加修复清扫,获得了和动态模板匹配标定方法几乎一样的结果,但是时间却快很多。

3 TKD orientation maps from a nanocrystalline Ni sample showing the benefit of using the Repair Sweep in MapSweeper
纳米Ni样品的TKD数据示例,展示了MapSweeper修复清扫的优点。(a) 基于霍夫变换标定的原始数据(标定率80%);(b)利用动态花样匹配方法重新标定的结果(99.9%标定率,13分钟重新分析);(c)精修清扫加2道修复清扫的结果(99.9%标定率,90秒重新分析)。

这里有很多示例,展示了AZtecCrystal MapSweeper中的各种清扫功能是如何增强各种类型的EBSD和TKD数据的。在每个示例中,都可以用滑条在原始数据(利用传统的基于霍夫变换的标定方法采集)和MapSweeper处理的数据之间切换显示。

陨石冲击形成大变形、纳米晶结构的钻石样品的取向分布图。原始数据利用TKD采集,标定率为51%。然后利用MapSweeper的动态模板匹配处理数据,达到了98%的标定率。感谢英国University of Leeds的Sandra Piazolo教授提供样品。
铁素体钢氧化铁皮样品的相分布图。原始数据是利用基于霍夫变换的标定,显示了大量立方FeO(粉色)和Fe3O4(绿色)相之间的错标。然后利用MapSweeper的精修清扫重新处理,结果得到了几乎完美的相区分。感谢土耳其Onur Meydan提供样品。
CuInSe2太阳能电池薄膜的取向分布图。CuInSe2具有四方结构,c:a为2.010,因此其单胞相对立方晶格只有约0.5%的偏差。当利用标准的基于霍夫变换的标定时,这种伪对称导致了大量的误标。利用MapSweeper的精修清扫重新处理了数据,成功的解决了伪对称问题,获得正确的取向及准确的晶界测量结果。感谢德国Helmholtz-Zentrum Berlin für Materialien und Energie GmbH公司Daniel Abou-Ras博士提供样品。
ZnO压敏电阻样品的取向分布图。原始数据显示单个晶粒内部没有结构。通过MapSweeper重新处理,在精修清扫中检测到非中心对称的ZnO。最终的结果显示大多数晶粒内都存在倒反畴界,凸显了ZnO极性的改变。感谢波兰Kraków,AGH University of Science and Technology的Grzegorz Cios博士提供样品。
断层岩样品的相和晶粒相对取向变化(GROD)面分布图。标定率为76%,在晶粒最细小的区域标定尤其差(主要是蓝色的斜辉石、红色的斜长石及绿色的角闪石)。利用MapSweeper中的精修清扫和修复清扫重新处理数据,结果标定率提高到87%;从GROD面分布图中的大块斜辉石晶粒反映出,角度精度也大大改善。
断层岩样品的相和晶粒相对取向变化(GROD)面分布图。标定率为76%,在晶粒最细小的区域标定尤其差(主要是蓝色的斜辉石、红色的斜长石及绿色的角闪石)。利用MapSweeper中的精修清扫和修复清扫重新处理数据,结果标定率提高到87%;从GROD面分布图中的大块斜辉石晶粒反映出,角度精度也大大改善。
GaN薄膜的加权柏氏矢量(WBV)强度面分布图,展示了单根线位错。原始数据采用高精度模式进行标定采集,仍然很难清楚解析出其中的位错(WBV分析采用3x3像素的积分环路)。利用MapSweeper的精修清扫重新处理数据:改善的角度精度(约0.01°)使得线位错清晰可见(采用完全相同的WBV分析参数),可进一步分析位错类型。
大变形Ti合金样品的取向面分布图。原始数据基于霍夫变换标定,结果标定率只有79%。利用MapSweeper的精修清扫和修复清扫重新处理数据,结果标定率提高至99%,明显改善了所有测试点的数据质量。

了解更多

沪ICP备17031777号-1 公安机关备案号31010402003473